Problem Data and Stored Energy Function

We consider a body occupying the cylindrical region in given by


where is the standard basis for and , , and . We consider an axisymmetric deformation of the body of the form


The strains for our problem are given by the vector


For simplicity let us write


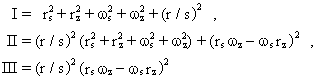
The principal invariants are given by


We assume that the body is composed of an isotropic hyperelastic material. That is, there exists a smooth function such that the stored energy of the body due to the deformation p, denoted by , is given by


In this work we used the following model for g:


We used the following values for the coefficients and exponents in the computations:

i
value
i
value
1
10-4
1
4
2
10-4
2
4
3
10-4
3
4
4
10-4
4
4
5
10-6
5
2
6
10-1
6
4

The height of the cylinder used in the calculations was h=0.2.