Capítulo 6

Diferenciación e Integración Numérica

Diferenciación Numérica

El cálculo de la derivada de una función puede ser un proceso "difícil" ya sea por lo complicado de la definición analítica de la función o por que esta se conoce unicamente en un número discreto de puntos. (Este es el caso si la función representa el resultado de algún experimento). En esta lección estudiaremos técnicas para aproximar las derivadas de una función y veremos el análisis de error de dichas formulas.

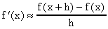
Formulas para la primera derivada: La definición de la derivada de una función f(x) en el punto "x" esta dada en terminos del limite:

De esta definición podemos decir que si "h" es pequeño entonces:

(Note el simbolo de aproximación). Esto nos da inmediatamente la primera formula numérica para aproximar la derivada:

Antes de ver algunos ejemplos donde usamos esta formula, tratemos de constestar la pregunta de ¿cuán buena es esta aproximación de la derivada? Por el Teorema de Taylor sabemos que:

donde esta entre x y x+h. Si despejamos ahora en esta formula por f'(x) y usamos la definición de tenemos que:

Esta formula nos dice que aproxima a f'(x) con un error proporcional a "h", i.e., O(h).

Ejemplo 1: Tomamos y queremos aproximar cuyo valor exacto es nueve. En la siguiente figura ilustramos los errores como función de "h" en escala logarítmica.


Podemos ver que los errores disminuyen hasta un cierto valor critico "hmin" luego del cual los errores aumentan según la "h" disminuye. ¿Contradice esto el resultado de arriba de O(h) del error? ¡NO! El resultado de arriba es sobre la convergencia si la aritmética es exacta y se dice que es un resultado asintótico. La figura ilustra los efectos de redondeo debido a la aritmética finita los cuales se hacen significativos para "h" pequeño y pueden afectar cualquier formula numérica para aproximar la derivada. Sin embargo, una formula con un grado de aproximabilidad digamos O(h2) es preferible a una O(h) ya que los errores (teoricos) tienden a cero más rápido y asi la "h" no se tiene que hacerse tan pequeña reduciendo asi los efectos de los errores por la aritmética finita. <>

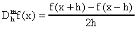
El método de arriba usando la expansión de Taylor se puede utilizar para obtener formulas para aproximar la derivada con un grado de aproximabilidad más alto que uno. Ilustramos esto para la obtención de una formula O(h2). Si en lugar de llegar hasta terminos de orden dos, expandimos hasta terminos de orden tres en la expansión de Taylor, obtenemos las formulas:

Si restamos estas dos ecuaciones, despejamos para f'(x), y usamos el teorema del valor medio aplicado a f'''(x) obtenemos la formula:

donde

y esta entre [x-h,x+h]. Tenemos pues que la formula tiene un error proporcional a O(h2).

Ejemplo 2: Comparamos las dos formulas obtenidas hasta ahora para aproximar f'(x) con el ejemplo de para . Los resultados los presentamos en forma tabulada para distintos valores de h:

h
0.1
13.5795
4.57948
9.85264
0.852636
0.05
11.0266
2.02656
9.21079
0.210788
0.025
9.95452
0.954519
9.05255
0.0525492
0.0125
9.46337
0.463374
9.01313
0.0131281

Este ejemplo ilustra lo superior de la formula . Note que cada ves que h se divide entre dos, el error en la formula se divide por dos (aproximadamente) mientras que en la formula se divide (aproximadamente) por cuatro (¿por qué?). <>

En forma similar se pueden obtener formulas de orden mayor utilizando expansiones de Taylor que envuelvan x±2h, x±3h, etc. Por ejemplo la expansión

nos da una formula de orden cuatro para f'(x). Es importante observar que mientras más alto el grado de aproximabilidad de la formula, más suave tiene que ser la función para que dicha aproximación sea valida. Por ejemplo esta formula de orden cuatro requiere que la función tenga cinco derivadas continuas en el intervalo en cuestión mientras que la formula de orden dos requiere unicamente tres derivadas continuas.

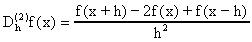
Formulas para la segunda derivada: El proceso de arriba se puede usar para obtener formulas para las derivadas de orden mayor de uno de una función f(x). Usamos este proceso para obtener una formula para la segunda derivada. Usando el Teorema de Taylor, podemos escribir las expansiones:

Sumando estas dos expansiones y despejando para f''(x) obtenemos:

donde

y esta entre [x-h,x+h]. Tenemos aqui una fomula de orden dos para f"(x).

Ejemplo 3: Examinamos la formla de arriba en el caso y para aproximar f ''(1)=72. Tenemos los resultados:

h
0.1
74.5368
2.53682
0.05
72.6311
0.63105
0.025
72.1576
0.157566
0.0125
72.0394
0.0393791

Nuevamente se puede ver el factor de cuatro en el error, caracteristico de la convergencia de orden dos. <>

En forma similar se pueden obtener formulas de orden mayor utilizando expansiones de Taylor que envuelvan x±2h, x±3h, etc. Por ejemplo la expansión

nos da una formula de orden cuatro para f"(x).

Diferenciación usando polinomios de interpolación: Suponga que son puntos distintos y sea pn(x) el polinomio que interpola a f(x) en estos puntos. Entonces aproximamos f '(x) por:

Suponga que . Se puede demostrar que

Aunque no discutiremos en más detalles este método para aproximar derivadas, si mencionamos que las dos formulas que discutimos para aproximar f '(x) se pueden obtener usando polinomios de interpolación de grados uno y dos respectivamente.

Ejercicios:

  1. Utilice las formulas para aproximar la primera y segunda derivada discutidas en esta lección para aproximar las correspondientes derivadas de la función en x=1 y para h=0.1, 0.01.
  2. Usando el Teorema de Taylor verifique la formula

  3. Para la formula repita un proceso similar al del Ejemplo 1 donde "h" se disminuye hasta que el error en la formula empieza a aumentar.